| Post Date: | Nov 26,2021 |
| Expiry Date: | Dec 10,2021 |
| Detailed Description: |
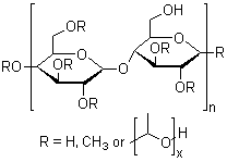
Cas No. :9004-65-3
Quantity: 3Metric Tons Price:8.2 USD Kilograms Payment Method: T/T , D/P , L/C E5/E6/E15 USP/EP/BP, for more details, pls contact with us by mail. |
| CAS Registry Number: | 9004-65-3 |
| Synonyms: | ;HPMC;(2R,3R,4S,5R,6S)-3,4,5-trimethoxy-2-(methoxymethyl)-6-[(2R,3R,4S,5R,6R)-4,5,6-trimethoxy-2-(methoxymethyl)tetrahydropyran-3-yl]oxy-tetrahydropyran;1-[[(2R,3R,4S,5R,6S)-3,4,5-tris(2-hydroxypropoxy)-6-[(2R,3R,4S,5R,6R)-4,5,6-tris(2-hydroxypropoxy)-2-(2-hydroxypropoxymethyl)tetrahydropyran-3-yl]oxy-tetrahydropyran-2-yl]methoxy]propan-2-ol;Hydroxypropyl methylcellulose;Hydroxypropyl methyl cellulose;HPMCP-HP55; |
| Molecular Formula: | C12H20O10 |
| Molecular Weight: | 324.2848 |
| Molecular Structure: | nload="javascript:DrawImage(this);">
|
| Safety Description: | S24/25:; |



nload="javascript:DrawImage(this);">